理想狀態下,高壓離心麻豆AV在线免费观看的離心風輪外圓周流體質點的運動軌跡,即為蝸殼的型線。一般蝸殼型線有2種設計方法:對數螺旋線法和阿基米德螺旋線法。對數螺旋線法流體質點運動軌跡方程為:

式中 Rφ——蝸殼內壁半徑,mm
R——風輪半徑,mm
Q——空氣額定流量,m3/h
B——蝸殼厚度,mm
c2μ——氣流離開葉輪後的周向速度,m/s
φ——蝸殼任一截麵與蝸殼起始麵的夾角,°
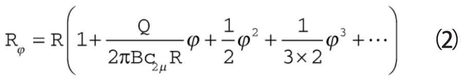
阿基米德螺旋線法流體質點運動軌跡方程為:

在工程中常采用基元圓弧蝸殼型線法近似替換阿基米德蝸殼型線方法來繪製蝸殼。基元圓弧蝸殼型線法包含等邊基元法和不等邊基元法。在低比轉速下2種方法氣流軌跡相近,麻豆AV在线免费观看公司采用等邊基元法繪製蝸殼型線。在額定流量下,蝸殼的出口截麵張開度A的計算式為:

一般蝸殼厚度B=162.5 mm,取蝸殼厚度B=160 mm。綜合設計參數取蝸殼截麵張開度A=80 mm。以風輪為中心做邊長a=A/4正方形基元,以正方形 4 個定點為圓心 R1,R2,R3,R4為半徑做圓,4段圓弧平滑連接成的螺旋線即蝸殼型線。其中R1=190 mm,R2=170 mm,R3=150 mm,R4=130 mm。
對於高壓離心麻豆AV在线免费观看的前向葉輪,蝸舌間隙t與風輪外徑關係為:t=2(0.07~0.15)R,考慮到氣動噪聲與蝸舌間距成反比,取t=15 mm。
蝸殼頂端的圓弧角r與風輪外徑關係為r=2(0.03~0.06)R,取r=9mm。繪製蝸殼內壁型線如圖1所示。

將理論計算獲得的蝸殼模型製成濟南麻豆AV在线免费观看樣機,並匹配電機進行噪聲測試,結果發現出風口存在出風不均的“呼啦”聲,在噪聲頻譜上表現為中低頻的寬頻噪聲,音質差。
版權聲明:文章來源於www.lingchenliang.com/index.php?c=show&id=428,轉載請注明出處!